光共振ミラーにより化学反応を制御する新技術を開発
~機能性材料等の合成プロセスへの展開に期待~
ポイント
- 光共振器の向かい合ったミラーの距離を調整するだけで官能基の反応を制御。
- 保護基を用いずに選択的に反応を制御。
- 機能性材料や医薬品などの合成プロセスへの展開に期待。
概要
北海道大学電子科学研究所の平井健二准教授(科学技術振興機構(JST)さきがけ研究者),雲林院宏教授,メルボルン大学化学科のジェームズ・ハチソン研究員らの研究グループは,光共振器*1の中で分子の振動状態を変えることで,化学反応をコントロールする方法を開発しました。
2枚の反射ミラーが向かい合った光共振器の中では,ミラー間の距離に応じて,特定の波長の光が安定に存在できます。この光のエネルギーと分子振動のエネルギーが等しくなると,共振器と分子振動が光を介して強く相互作用します。この時,共振器中の場と分子振動が混成した状態(振動ポラリトン)を形成します。この量子的現象は以前から知られていましたが,分子化学との接点はほとんどなく, 化学反応への影響は未解明の領域でした。
本研究では,光共振器の中で有機反応の反応速度が変化することを実証しました。光共振器の中ではカルボニル基*2の伸縮振動と共振器が強く相互作用し,振動ポラリトンのエネルギー準位の分裂(ラビ分裂)を観測しました。この状態では,カルボニル基の反応性が低下しており,反応速度が大きく減速することがわかりました。この方法では,ミラー間の距離を調整するだけで,狙った反応部位が反応できなくなるため,保護剤を必要としない選択的化学反応に応用できる可能性があります。今後,新たな化学反応の操作方法として,機能性材料や医薬品などの合成プロセスへの展開が期待されます。
本研究成果は,2020年1月22日(水)公開のドイツ化学会誌Angewandte Chemie International Edition誌に掲載(オンライン公開)されました。また,本論文は公表雑誌の”Very Important Paper (VIP)” に選定されました。VIPは重要度が上位5%以内と評価された論文です。
なお,本研究は,JST戦略的創造研究推進事業さきがけ「電子やイオン等の能動的制御と反応」(研究総括:関根 泰)における「ラビ分裂による化学反応操作法の確立」(研究者:平井健二)(JPMJPR18TA),日本学術振興会科学研究費助成事業(18K19085)及びCore-to-Core Programによる支援を受けて行われました。
背景
化学反応を原子・分子スケールで制御することは,分子化学における大きな目標の一つです。これまで,有機反応をコントロールするために,反応部位を保護し反応しないようにする方法や,特定の部位を認識する触媒の開発が行われてきました。現在も,薬剤から化学製品まで様々な分子を合成する技術が研究されています。一方,量子物理の分野では,光共振器の中での光子*3と原子・分子の振る舞いに関する研究が進んでいます。2012年には,光共振器中での原子の振る舞いに関する研究に対して,ノーベル物理学賞が授与されています。
近年,この量子物理的現象を分子化学に応用する試みが始まっています。ごく最近では,光共振器中で分子の振動状態が変化することが発見されました。この振動状態の変化が,化学反応にどのように影響するかは未解明の領域でした。
研究手法・研究成果
この課題を解決するために, 研究グループは,2枚の反射ミラーが平行に向かい合った光共振器を作りました。ミラー間の距離を変えると,ミラー間に存在しやすい光の波長が変わります。この光の波長を調整することで,共振器の中に存在しやすい光のエネルギーを調整できます(図1)。
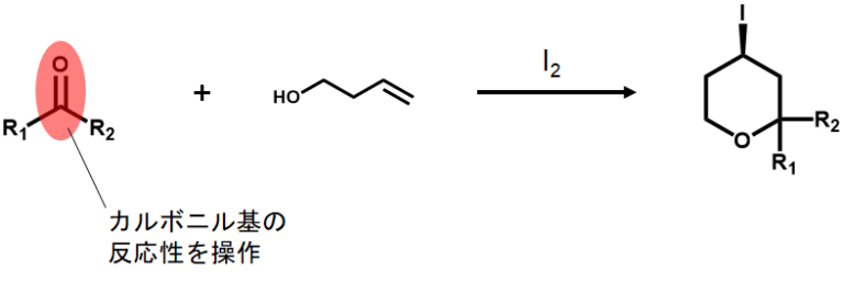
一方,有機分子は固有の振動をもっており,光を吸収することで振動します。本研究では,カルボニル基をもつ有機分子を光共振器の中に入れました。その後,光共振器のミラーの距離を調整することで,共振器内の光のエネルギーと分子振動のエネルギーを一致させました。この状態では,共振器中の真空場*4とカルボニル伸縮振動が光子を介して相互作用して混成状態(振動ポラリトン)を形成し,これにより振動ポラリトンのエネルギー準位が分裂するラビ分裂を観測しました(図2)。ラビ分裂が起こった状態では,活性化エネルギーが10kJ/mol程度上昇しており, カルボニル基の反応性が低下していることを確認しました(図3)。
今後への期待
本研究で開発した方法では,ミラーの距離を調整するだけで,望みの部位の反応性を変えることができます。また,本手法は幅広い分子に適用することができ,ある特定の部位の反応性を低下させることで,保護基を用いずに選択的に化学反応を進行させることが期待されます。今後,新たな反応コントロールの方法として反応器デバイスと組み合わせることで,化学製品,医薬品,機能性材料などの工業プロセスへの展開も期待されます。
論文情報
論文名
Modulation of Prins Cyclization by Vibrational Strong Coupling(振動強結合によるプリンス環化反応の制御)
著者名
平井健二1,2,武田理恵1,James A. Hutchison3,雲林院宏1,4(1北海道大学電子科学研究所,2科学技術振興機構,3メルボルン大学化学科,4ルーバン大学化学科)
雑誌名
Angewandte Chemie International Edition
DOI
公表日
2020年1月22日(水)(オンライン公開)
お問い合わせ先
北海道大学電子科学研究所 准教授 平井健二(ひらいけんじ)
TEL 011-706-9408
FAX 011-706-9406
メール hirai[at]es.hokudai.ac.jp
URL https://www.es.hokudai.ac.jp/labo/lnn/Top.html
参考図

図1.2枚のミラーが向かい合った光共振器。
(a) 特定の波長(λ)の光が存在しやすい場をつくる。特定のエネルギーの光が存在しやすく,このエネルギーはミラー間の距離(d)で調整できる。
(b)光共振器の中で有機化学反応を行う。

図2.分子振動(黒: ν1)と共振器のエネルギー(赤:λ= 2d)が一致すると,分裂した新たなエネルギー状態をつくる(青線)。これはラビ分裂と呼ばれる。

図3.今回行った化学反応。ラビ分裂によってカルボニル基(赤: C=O)の反応性を操作。
用語解説
*1 光共振器
向かい合ったミラーの間に光を閉じ込める機器(図1参照)。
*2 カルボニル基
炭素と酸素が二重結合でつながった構造。様々な有機反応で利用される。
*3 光子
光を粒子と考えた場合の光の粒子を指す。
*4 真空場
ここでは量子的な揺らぎで作られる場を意味する。









